Quantum Ising Model

Team
Supervisor: Dr. Ka Ming Tam
Location
Baton Rouge, Louisiana
Year
2024
Role
Research Assistant
SKILLS
Quantum Mechanics, Data Visualization, Modeling, Reverse Engineering
Overview
Using Python, I implemented a Qiskit simulation of 1D curved-spacetime dynamics by mapping a Dirac-field model onto a 10–12 qubit lattice with position-dependent (tanh) couplings that create an event horizon. I quantified horizon-crossing probabilities and time-evolving entanglement, and visualized both as time-vs-site heatmaps.
Rationale
Classically simulating Hawking radiation is extremely difficult because it arises from quantum field effects and rapidly growing entanglement near an event horizon. Quantum simulators offer a direct way to emulate this physics by mapping the model onto a controllable qubit lattice and measuring radiation-like leakage and entanglement dynamics. Demonstrating this capability would strengthen quantum computing as a tool for fundamental research and broader quantum simulation applications.
Research Question
Can a quantum computer reproduce key signatures of Hawking radiation by mapping the (1+1)D Dirac equation in curved spacetime onto a 10–12 qubit lattice with position-dependent couplings that form an event horizon, and then measuring how (1) the probability of an excitation escaping to a defined outside region and (2) entanglement between qubits evolve over time?
Procedures/Methodology
Setup: Build an N-qubit (N = 10-12) neighbor-only interaction lattice in Python/Qiskit and initialized a single-site excitation
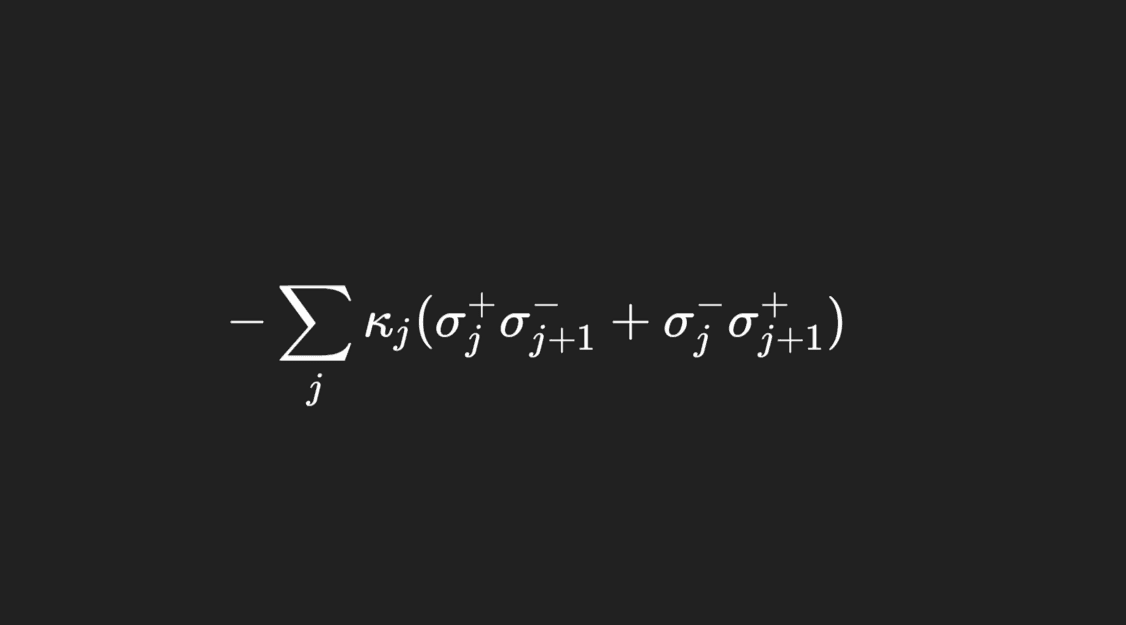
Define Horizon: Implement a location-dependent coupling kj = a × tanh((j - 2.5)×d)/4d, defining an effective horizon near site 3
Time evolution: For each time T = k × dt, apply N = T/dt discrete steps of evolution using neighbors RXX/RYY layers with angles set by kj and dt
Measurement and storage: Measured all qubits at each T, computed per site <Zj> from shot counts and store results in an N x K matric for time vs. site heatmaps and radiation leakage probability visualization
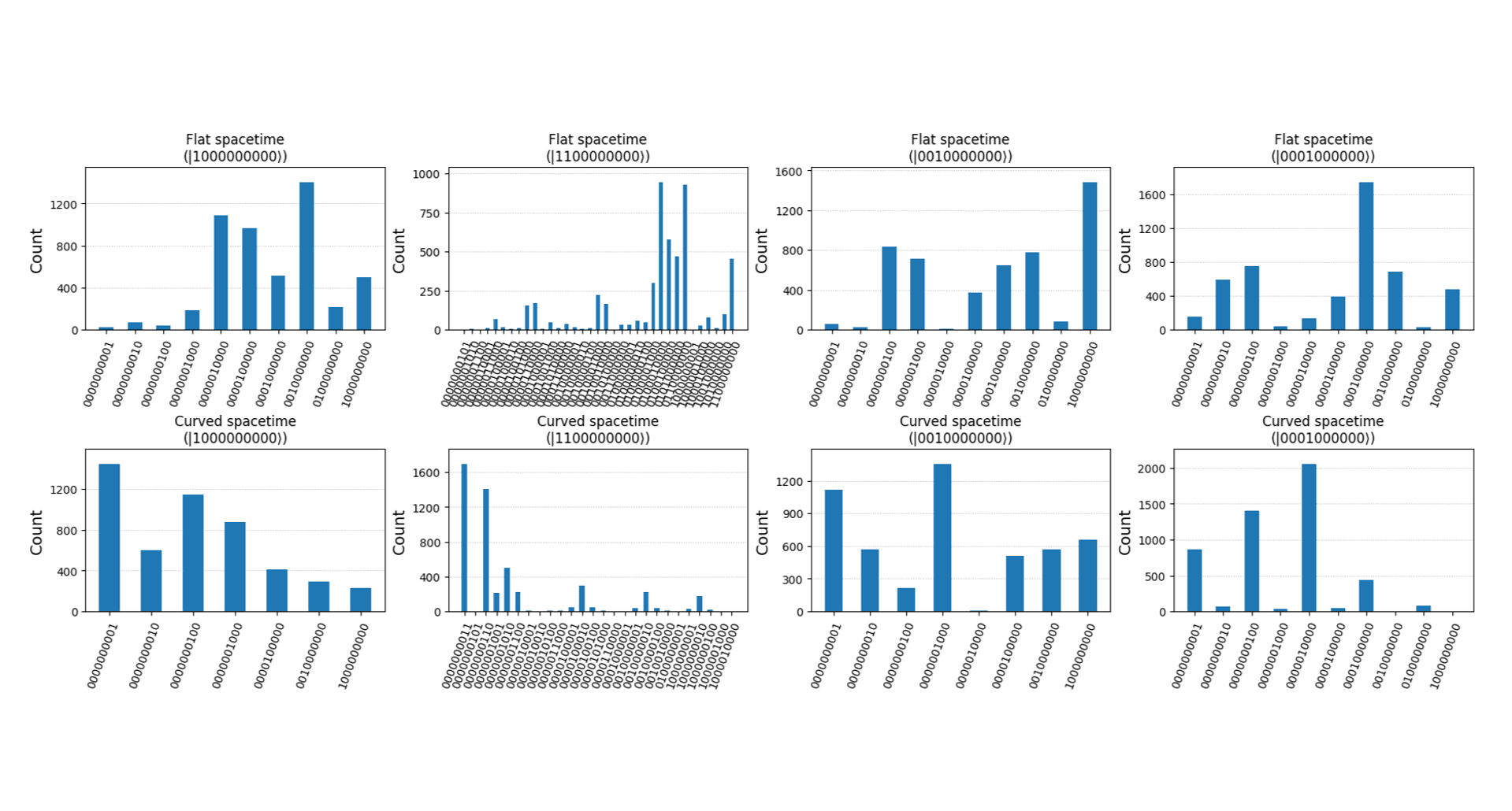
Results and Visualization
In flat spacetime (uniform couplings), an initial excitation spreads across the 10-qubit chain in a symmetric, wave-like pattern typical of simple hopping dynamics. In curved spacetime (tanh, position-dependent couplings that create a horizon), the propagation becomes strongly asymmetric. We see that the probability tends to concentrate near the horizon/inside region and leaks to the outside much more differently, consistent with horizon-induced (like with Hawking radiation) emission behavior.
Conclusion
This project demonstrates that near-term quantum computing can simulate black-hole–horizon dynamics by mapping a curved-spacetime Dirac model onto a 10–12 qubit lattice and reproducing the expected time evolution of site probabilities, including measurable leakage into a defined “outside” region, along with evolving entanglement. In doing so, it supports the rationale and answers the research question: quantum hardware/simulators can carry out time-dynamics simulations of quantum systems that are difficult to model classically, and extract physically meaningful observables from the evolution. A key limitation is that today’s devices are still noisy and lack full error correction, so results are constrained by finite qubit counts, sampling noise, and gate errors compared to an ideal fault-tolerant quantum computer.







